본문 바로가기
수학/Linear Algebra and its application

2.2 The Inverse of a Matrix

by 대소기 2021. 12. 22.

Invertible Matrix(역행렬)

* n x n square matrix A는(역행렬이 존재하려면 square matrix여야 한다.) 아래와 같은 n x n matrix C가 존재할 때 역행렬이 존재한다고 할 수 있다. 그리고 해당 역행렬은 이 matrix C가 된다.

$CA = I$ and $AC = I$

 

* 또한 이 Invertible matrix는 unique하다.

$B = BI = B(AC) = (BA)C = IC = C$

$\therefore B=C$

 

Theorem 4.

Let A = $\begin{bmatrix} a & b \\ c & d \end{bmatrix}$. If $ad - bc \neq 0$ then A is invertible and
$A^{-1} = \frac{1}{ad-bc} \begin{bmatrix} a & b \\ c & d \end{bmatrix}$

ad-bc is called determinant A and can be written $det ~ A$
Theorem 5.

Let A is an invertible n x n matrix, then for each b in $\mathbb{R}^n$, the equation Ax=b has the unique solution $x = A^{-1} b$

 

 

Example 1)

$A = \begin{bmatrix} 3 & 4 \\ 5 & 6 \end{bmatrix}$ , $b=\begin{bmatrix} 3 \\ 7 \end{bmatrix}$ 일 떄, Ax=b의 x를 구하시오.

 

$A^{-1} = \begin{bmatrix} -3 & 2 \\ 5/2 & -3/2 \end{bmatrix}$

$A^{-1}b = \begin{bmatrix} -3 & 2 \\ 5/2 & -3/2 \end{bmatrix} \begin{bmatrix} 3 \\ 7 \end{bmatrix} = \begin{bmatrix} 5 \\ -3 \end{bmatrix}$

 

* theorem 5를 이용하면 위와 같이 row reduction을 통해 reduced echelon form을 생성하지 않아도 inverse matrix를 통해 간단하게 solution을 구할 수 있다.

 

 

Theorem 6.

1) If A is an invertible matrix, then $A^{-1}$ is invertible and $(A^-1)^-1 = A$
2) If A and B are n x n invertible matrices, then so is AB and the inverse of AB is the product of the inverses of A and B in the reverse order. That is $(AB)^{-1} = B^{-1} A^{-1}$
3) If A is an invertible matrix, so is $A^{T}$ , and the inverse of $A^T$ is the transpose of $A^{-1}$. That is $(A^T)^{-1} = (A^{-1})^T$

and use those three proposition, we can compute this $(A^{-1})^T A^T = (AA^{-1})^T = I^T = I$

 

Elementary Matrices

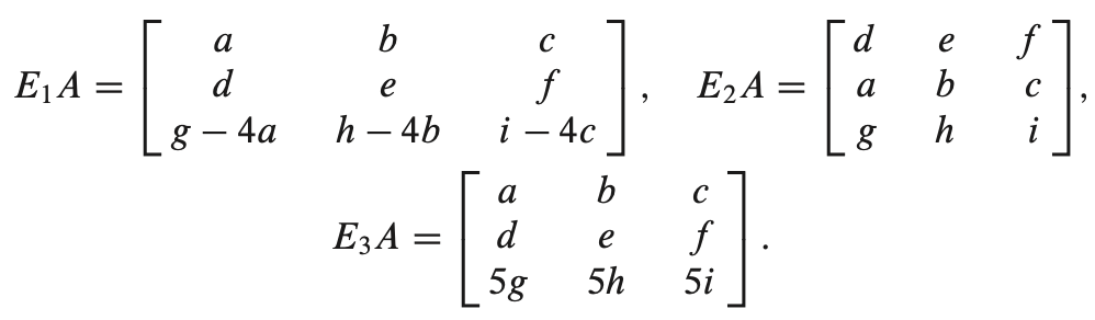
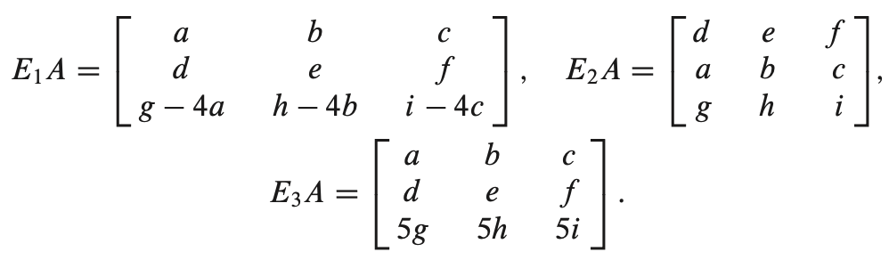
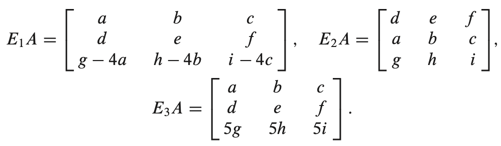
* Elementray Matrix는 동일한 size의 Identity matrix에 single elementary row operation만을 취해서 도출한 matrix를 뜻한다.

* $E_1$의 경우 Identity matrix의 첫 번째 row에 -4를 곱해서 세 번째 row에 더한 operation이 적용되었고, $E_2$의 경우 Identity matrix의 첫 번째 row와 두 번째 row의 Interchange를 통해 도출 되었다. $E_3$는 Identity matrix의 세 번째 row에 5를 곱해서 도출되었다.

* Elementary Matrix와 특정 matrix A와의 multiplication은 matrix A에 Elementary Matrix를 생성하기 위해 Identity matrix에 취했던 operation을 동일하게 적용한 것과 같다. 예를 들자면 $E_1A$는 matrix A에 $E_1$에 취해줬던 row operation(첫 번째 row에 -4를 곱해서 더해주는 )을 적용한 것과 같은 결과를 보인다는 것을 위 자료를 통해 알 수 있다.

 

$E_1 = \begin{bmatrix} 1 & 0 & 0 \\ 0 & 1 & 0 \\ -4 & 0 & 1 \end{bmatrix}$

${E_1}^{-1} = \begin{bmatrix} 1 & 0 & 0 \\ 0 & 1 & 0 \\ +4 & 0 & 1 \end{bmatrix}$

$E_1 {E_1}^{-1} = \begin{bmatrix} 1 & 0 & 0 \\ 0 & 1 & 0 \\ 0 & 0 & 1 \end{bmatrix}$

 

* 또한 Elementary Matrix E가 invertible하다면 Identity matrix에 취해줬던 operation을 반대로 E에 취해주면 invertible matrix $E^{-1}$을 구할 수 있다.

 

Theorem 7.

* n x n matrix A가 invertible하다면 A와 identity matrixI 는 row equivalent하다. 즉, A에 유한번의 elementary row operation을 취했을 때(= 유한 개의 elementary matrix를 곱했을 때 ) I를 도출할 수 있다(혹은 그 반대도 가능하다). 그리고 이 명제는 역 또한 성립한다.

* 만약 동일한 A에서 I까지 reduce하는 동일한 과정을 I에 적용하면, A의 역행렬을 도출할 수 있다.

Example 2)

* 이러한 성질을 활용하면 A의 inverse matrix를 쉽게 구할 수 있다. 예를 들어 A가 m x n matrix이고 invertible하다면, n x n  identity matrix I를 결과로 하는 augmented matrix를 구성하여 row reduction을 통해 $A^{-1}$를 찾을 수 있다.