How to demermine a matrix transformation
* Ax=T(x)에서 matrix A를 몰라도 T(x) 즉, x의 image를 알고 있으면 A를 역으로 추적할 수 있다.
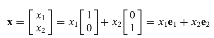
* 항등함수의 성질에 따라 Ix=x이기 때문에 다음과 같이 vector $x=\begin{bmatrix} x_1 \\ x_2 \end{bmatrix}$ 를 정리할 수 있다.

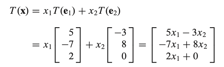
* 1.8 에서 배운 내용을 활용하면 T(u) + T(v) = T(u+v)이기 때문에 아래와 같이 $T(x)$를 $T(x_1e_1 + x_2e_2)$로 나눠 쓸 수가 있다.

* 즉, matrix A는 $T(e_1), T(e_2)$로 이뤄져있다는 것을 알 수 있다.
Theorem10.
* 만약 $R^n$ 차원에서 $R^m$차원으로 linear transformation을 한다면, $R^n$에 속하는 모든 x에 대해 transformation matrix A는 유일하게 존재한다(모든 x는 동일한 matrix A를 갖는다). 그리고 이 transformation matrix는 항등행렬 $I_{nxn}$의 column $e_i$를 Transformation한 column $T(e_i)$로 구성되어 있다.
$A = [T(e_1) ... T(e_n)]$
* 이 matrix A를 Standard Matrix라고 부른다.
Example1)

* 위와 같이 pi 만큼 rotate했을 때 결과 값만 알면 아래의 standard matrix A를 구할 수 있다.

Geometric Linear Transformation of $R^2$
* 아래 그림들은 Standard Matrix가 작동하는 방법을 구분한 것이다. Reflections, Contractions and Expansions, Shears 3가지로 구분 가능하다.
Reflections


Contractions And Expansions

Shears

Onto(전사함수)

* 전사는 공역과 치역이 같은 경우를 뜻한다. 선형대수학의 transformation에서의 전사는 아래와 같은 의미를 가진다.
* $T : \mathbb{R}^n -> \mathbb{R}^m$ 일 때 T의 range가 모두 codomain $\mathbb{R}^m$에 있을 경우에만 onto한다고 말한다.
* domain의 vector 개수는 codomain의 원소 개수보다 적아야 한다.
* onto의 경우 하나의 codomain vector가 2개 이상의 domain vector를 가질 수 있는 경우를 의미한다.
* 결과적으로 onto $\mathbb{R}^m$ 은 linear transformation 이후 image들이 모인 range가 codomain과 일치해야 한다.

One-to-One(단사함수)

* 단사함수는 $x_1 \neq x_2$ 면 $f(x_1) \neq f(x_2)$ 인 것을 뜻한다. 이 때 치역과 공역이 같을 필요가 없다.
* 아래와 같이 $T : \mathbb{R}^n -> \mathbb{R}^m$ 일 때 하나의 domain vector가 최대 한 개의 codomain vector를 가질 때 linear transformation이 one-to-one 이라고 할 수 있다.

Example2)
T가 linear transformation일 떄 standard matrix가 아래와 같다면, T는 map $\mathbb{R}^4 $ onto $\mathbb{R}^3$하는가?

1. onto하는가에 대하여
* onto하는지를 보려면 Ax = b가 최소한 1개의 solution을 가져야 한다(solution이 존재하지 않으면 안된다). matrix를 보면 각 row마다 pivot position이 존재하기 때문에 onto한다고 볼 수 있다.
2. one to one하는가에 대하여
* 위 matrix에서 $x_3$는 free variable이다. 때문에 T(x) = Ax = 0은 nontrivial solution, 즉 무수히 많은 해가 존재하고 이는 not one to one으로 볼 수 있다(1개의 변수가 무수히 많은 y를 가리키기 때문에).
Theorem 11.
$T : \mathbb{R}^n -> \mathbb{R}^m$ 의 linaer transformation은 T가 one to one일 경우 T(x)=0은 trivial solution만을 갖는다.
Theorem 12.
$T : \mathbb{R}^n -> \mathbb{R}^m$ 가 linear transformation이고 A가 standard matrix일 때 T maps $\mathbb{R}^n onto \mathbb{R}^m$이라면, A의 column들이 $\mathbb{R}^m$을 span한다. 그리고 그 역도 성립한다.
또한 T가 one-to-one이라면 A의 column들은 linearly independent하다. 그리고 역도 성립한다.
* 이 theorem들을 활용하면 다음 문제를 풀 수 있다.
Example3)
Does the following T map $\mathbb{R}^n$ onto $\mathbb{R}^m$? Is T a one-to-one mapping?
$\begin{bmatrix} 3 & 1 \\ 5 & 7 \\ 1 & 3 \end{bmatrix}$
* 위 matrix가 linearly independent이기 때문에 one-to-one 관계이다(두 vector가 scalar곱으로 표현되지 않기 때문에).
* 또한 row reduction을 시행하면 $\begin{bmatrix} 1 & -5 \\ 0 & 1 \\ 0 & 0 \end{bmatrix}$으로 pivot position이 2개이기 때문에 row 개수보다 pivot position개수가 적어 onto관계가 아니다.
'수학 > Linear Algebra and its application' 카테고리의 다른 글
| 2.2 The Inverse of a Matrix (0) | 2021.12.22 |
|---|---|
| 2.1 Matrix Operations (0) | 2021.12.22 |
| 1.8 Introduction To Linear Transformations (0) | 2021.12.20 |
| 1.7 Linear Independence (0) | 2021.12.20 |
| 1.5 Solution Sets of Linear Systems (0) | 2021.12.15 |