
Vectors in $R^2$
vector
* 1개의 column으로 이뤄진 matrix를 column vector 혹은 vector라고 부른다.
* entry의 개수가 n개인 vector를 n차원 vector(vectors in $R^2$)라고 부른다. 만약 entry의 개수가 2개라면 2차원 벡터가 된다.

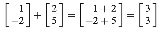
Vector Summation

* Vector summation은 위와 같이 element-wise하게 시행한다.
Scalar Multiplication

* scalar multiplication은 위와 같이 각 entry에 스칼라를 곱해주는 것을 뜻한다.
Geometric Description of $R^2$

* vector의 표현은 왼쪽 그림과 같이 좌표를 나타내는 한 점으로 표현하거나, 오른쪽 그림과 같이 원점으로부터 시작되는 방향을 나타내는 화살표로 표현할 수 있다.
vector summation

* vector u와 v의 합은 u+v가 되며, R^2 평면에 나타내면 위와 같다.
* 두 벡터의 합은 한 벡터를 다른 벡터의 끝 점으로 평행이동 했을 때 가리키게 되는 점의 좌표로 볼 수 있다. 위의 예에서 vector v의 끝 점에 vector u를 평행이동 했을 때 최종적으로 가리키게 되는 점은 u+v가 된다(v를 u의 끝 점으로 이동시켜도 동일하게 u+v를 가리킨다).
Scalar Multiplication

* scalar multiplication을 했을 떄 vector의 방향은 바뀌지 않는다.
* 때문에 벡터의 scalar 곱을 했을 때 모든 가능한 경우의 수를 표현하면 오른쪽 그림과 같이 원점을 지나는(vecoter에 0을 곱하면 0,0이 되기 때문에 원점을 꼭 지나게 된다) 선분이 된다.
Vectors in $R^3$

*3차원 벡터의 scalar곱도 위와 같이 3차원 공간의 선분으로서 표현할 수 있다.
Vectors in $R^n$

* 위에서 살펴본 내용을 일반화 하면 $R^n$ 차원을 위와 같이 표현할 수 있다.
Algebaric Properties of $R^n$

* 위 특징들은 실수의 사칙연산과 크게 차이를 보이지 않는다.
Linear Combination

* $R^n$ space에 있는 벡터들과 스칼라들의 곱 y를 linear combination이라고 한다.
* 여기서 scalar들은 weights를 의미한다. 또한 이 weight들은 어떤 값이 될 수도 있고, 0 도 weight로서 가능하다.
Can b be generated as a linear combination of a1 and a2?


* 위와 같은 vector a1, a2, b가 있을 때 vector a1, a2의 linear combination을 통해 b가 도출될 수 있는지 확인하기 위해서는 첫 번째 로 augmented matrix를 구성해 row reduction을 통해 reduced echelon form을 도출해서 해를 구하는 방법을 사용할 수 있다.

* row reduction을 수행한 결과 $x_1=3, x_2=2$ 를 얻을 수 있었다.
* 즉, scalar 3을 a1에 scalar 2를 a2에 곱해 더하면 vector b를 얻을 수 있는 것이다.
* 이 과정을 통해 우리는 linear combination을 이용한 vector equation을 통해 도출해 낸 해와 augmented matrix를 통해 도출한 해는 동일하다는 것을 알 수 있다.
Span ${v_1, v2, ...., v_n}$

* Span ${v_1, v2, ...., v_n}$는 열거한 vector들의 linear combination을 통해 표현할 수 있는 모든 벡터의 collection으로 해석할 수 있다.
* 또한 vector가 1개여도 span을 표현할 수 있다. 위 3차원 공간에서 vector v의 span은 직선이 된다.
Conclusion
* 결론적으로 우리는 아래 3가지 명제가 같다는 것을 확인할 수 있다.
1) Is a vector b in Span ${v_1, v2, ...., v_n}$ ?
2) Does the following vector equation have a solution?
$x_1v_1 + x_2v_2 + ... + x_nv_n = b$
3) Does the following augmented matrix have a solution?
$[v_1 ... v_n b]$
'수학 > Linear Algebra and its application' 카테고리의 다른 글
| 1.7 Linear Independence (0) | 2021.12.20 |
|---|---|
| 1.5 Solution Sets of Linear Systems (0) | 2021.12.15 |
| 1.4 The Matrix Equation (0) | 2021.12.13 |
| 1.2 Row Reduction and Echelon form (0) | 2021.12.12 |
| 1.1 Systems of Linear Equation (0) | 2021.12.12 |