A system of linear equations
* system of linear equation은 1개 혹은 1개 이상의 선형 방정식의 collection을 뜻한다.

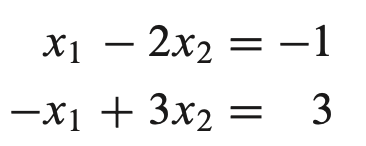
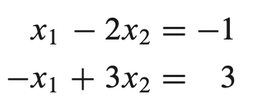
Solution Set

* linear system 내의 모든 가능한 solution들을 solution set이라고 한다. 위 linear system의 경우 가능한 solution이 1개 존재한다.
* 만약 두 개의 linear system이 동일한 solution set을 가지고 있다면 둘 사이의 관계가 equivalent하다고 할 수 있다.
A system of linear equations의 3가지 경우
1) exactly one solution

* 위에서 봤던 경우로 linear system 안의 방정식들을 모두 만족시키는 해가 1개 뿐인 경우를 뜻한다.
2) no solution

* linear system 안의 방정식들을 모두 만족시키는 해가 존재하지 않는다.
3) Infinitely many solutions

* linear system 안의 방정식들을 만족시키는 해가 무수히 많은 경우이다.
linear system이 위 경우 중 1,3에 해당하는 one solution, infinitely many solutions에 해당한다면 consistent하다고 한다.
만약 2번에 해당하는 no solution이라면 inconsistent라고 한다.
consistent는 한글로 번역하면 모순성이 없다는 뜻이 된다. no solution의 경우 inconsistent, 즉 모순된다고 판단되는데, 그 이유는 한 방정식을 만족시키는 해가 절대로 다른 방정식을 만족시킬 수 없는 모순이 발생하기 때문이다.
Matrix Notation

* linear system이 위와 같이 주어졌을 때 matrix notation에 따라 2가지로 표기된다.
1) coefficient matrix(계수 행렬)

* equation들의 계수만 matrix형태로 표기한 것을 coefficient matrix라고 부른다.
2) Augmented matrix(첨가 행렬)

* augmented matrix는 coefficient matrix에 system의 오른쪽 constant 들을 포함한 값들이 추가된 형태로 타나낼 수 있다.
* 간단히 말하면 등호 오른쪽 값들까지 표기한 것을 augment matrix라고 부른다.
Solving a Linear System
elimination(소거법)
* elimination은 말 그대로 항들을 소거하여 주어진 system을 해를 구하기 쉬운 형태로 변환하는 것을 뜻한다.
* 특정 equation의 x1항을 다른 equation의 x1항 소거에 사용하는 등의 방식을 사용하여 system의 형태를 변환한다.

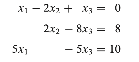
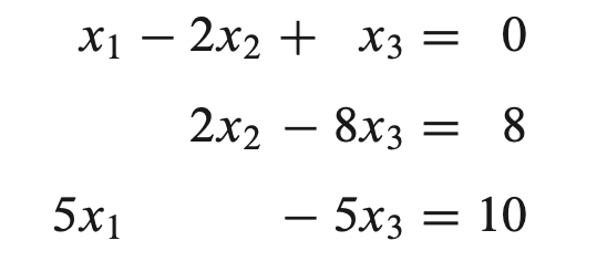
* 만약 위와 같은 system이 주어졌을 때, 소거법을 적용하면 아래와 같은 과정을 거친다.

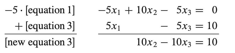
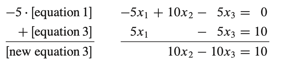
1) scaling
* 첫 번째 equation에 -5를 곱한다.
2) replacement
* scaling의 결과 값을 equation3에 더한다. 그 결과 값을 equation3에 replace한다.
* 이를 통해 x1 term을 eliminate할 수 있다.

* 이러한 scaling, replacement과정을 반복하여 마지막에는 아래와 같은 triangular form으로 변환하게 된다. 이 triangular form은 다음 챕터에서 더 자세히 다룰 것이다.

3) Interchange
* elimination을 하다 보면 위와 같이 triangular form이 완전하게 형성되지 않을 수도 있다. 예를 들어 elimination 결과 첫 번째 equation과 두 번째 equation이 자리가 바뀌어 있다고 생각해보자. system 내의 equation들의 위치는 바뀌어도 상관 없으므로 첫 번째 euqation과 두 번째 equation의 자리를 바꿀 수 있다. 이를 Interchange라고 한다.
* elimination은 오른쪽에 있는 augmented matrix만을 활용해서 시행할 수도 있다.
정리
linear system
* 여러 선형방정식의 collection
solution set
* linear system 내의 모든 가능한 solution들
1) solution 1개
2) solution 여러개
3) solution 없음.
linear system is consistent
* linear system 의 solution set이 존재
linear system is inconsistent
* linear system의 solution set이 존재 x
equivalent
* 두 개 이상의 linear system이 동일한 solution set을 가지고 있음.
'수학 > Linear Algebra and its application' 카테고리의 다른 글
| 1.7 Linear Independence (0) | 2021.12.20 |
|---|---|
| 1.5 Solution Sets of Linear Systems (0) | 2021.12.15 |
| 1.4 The Matrix Equation (0) | 2021.12.13 |
| 1.3 Vector Equations (0) | 2021.12.13 |
| 1.2 Row Reduction and Echelon form (0) | 2021.12.12 |